Словарь научных терминов
Килиани-фишера реакция
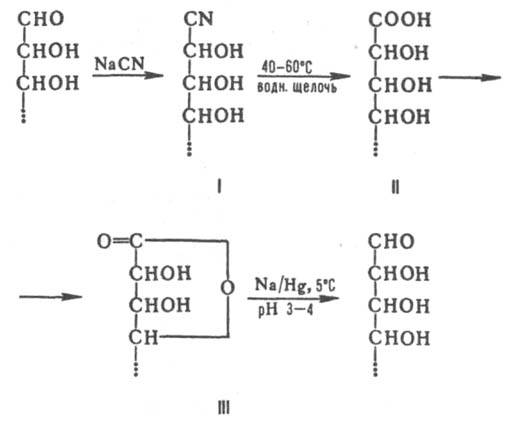
КИЛИАНИ-ФИШЕРА РЕАКЦИЯ (циангидриновый синтез альдоз), удлинение углеродной цепи алъдоз на одно гидроксиметиленовое звено. Протекает через стадии превращения альдозы в циангидрины, гидролиза последних в альдоновые к-ты и восстановления их лактонов, напр.:
Присоединение группы CN приводит к смеси эпимерных циангидринов (ф-ла I), соотношение к-рых зависит от строения исходной альдозы и условий проведения р-ции, в частности рН среды и присутствия добавок солей. Циангидрины обычно получают взаимод. альдоз с водными р-рами NH4CN при рН 9,0-9,1 или по р-ции альдоз с водным р-ром NaCN на холоду в присут. СаС12, ВаС12, NH4Cl или без них. В первом случае наблюдается предпочтительное образование циангидринов с транс-расположением групп ОН при атомах С-2 и С-4. Циангидрины м. б. также получены взаимод. альдоз с р-рами HCN в абс. пиридине или ДМФА в присут. триэтиламина. Гидролиз циангидринов протекает в течение неск. часов при 50-80 °С в водных р-рах Na2CO3, Ba(OH)2 или Са(ОН)2. При послед. подкислении р-ром H2SO4 или обработке ка-тионитами получаются альдоновые к-ты (II), самопроизвольно превращающиеся в лактоны (III). Разделение образующихся эпимеров альдоновых к-т обычно проводят хроматографически, а также дробной кристаллизацией их солей, лактонов, амидов или фенилгидразидов. Превращ. лактонов в альдозы осуществляют действием амальгамы Na в водных р-рах в присут. катионита (рН 3,0-3,5, т-ра [5 °С); электролитич. восстановлением на ртутном катоде; каталитич. гидрогенолизом над РtO2; действием NaBH4 в водных р-рах (рН 3-4). К.-Ф. р. разработана на основе работ Г. Килиани, изучавшего присоединение HCN к альдозам и гидролиз циангидринов (1885-89), и Э. Фишера по восстановлению альдонолактонов с помощью амальгамы Na (1889-95). Лит.. Химия углеводов, М., 1967; Степаяеико Б. Н., Химия и биохимия углеводов. Моносахариды, М., 1977, с. 119; Webber J. М., в кн.. Advances in carbohydrate chemistry, v. 17, N.Y., 1962, p. 15 63. Н.Э. Нифантьев.

Присоединение группы CN приводит к смеси эпимерных циангидринов (ф-ла I), соотношение к-рых зависит от строения исходной альдозы и условий проведения р-ции, в частности рН среды и присутствия добавок солей. Циангидрины обычно получают взаимод. альдоз с водными р-рами NH4CN при рН 9,0-9,1 или по р-ции альдоз с водным р-ром NaCN на холоду в присут. СаС12, ВаС12, NH4Cl или без них. В первом случае наблюдается предпочтительное образование циангидринов с транс-расположением групп ОН при атомах С-2 и С-4. Циангидрины м. б. также получены взаимод. альдоз с р-рами HCN в абс. пиридине или ДМФА в присут. триэтиламина. Гидролиз циангидринов протекает в течение неск. часов при 50-80 °С в водных р-рах Na2CO3, Ba(OH)2 или Са(ОН)2. При послед. подкислении р-ром H2SO4 или обработке ка-тионитами получаются альдоновые к-ты (II), самопроизвольно превращающиеся в лактоны (III). Разделение образующихся эпимеров альдоновых к-т обычно проводят хроматографически, а также дробной кристаллизацией их солей, лактонов, амидов или фенилгидразидов. Превращ. лактонов в альдозы осуществляют действием амальгамы Na в водных р-рах в присут. катионита (рН 3,0-3,5, т-ра [5 °С); электролитич. восстановлением на ртутном катоде; каталитич. гидрогенолизом над РtO2; действием NaBH4 в водных р-рах (рН 3-4). К.-Ф. р. разработана на основе работ Г. Килиани, изучавшего присоединение HCN к альдозам и гидролиз циангидринов (1885-89), и Э. Фишера по восстановлению альдонолактонов с помощью амальгамы Na (1889-95). Лит.. Химия углеводов, М., 1967; Степаяеико Б. Н., Химия и биохимия углеводов. Моносахариды, М., 1977, с. 119; Webber J. М., в кн.. Advances in carbohydrate chemistry, v. 17, N.Y., 1962, p. 15 63. Н.Э. Нифантьев.
-капролактам
Keтoальдегиды
Кабачника-филдса реакция
Кавитация
Кадио-ходкевича реакция
Кадионы
Кадмий
Кадмийорганические соединения
Кадмия антимонид
Кадмия галогениды
Кадмия нитрат
Кадмия оксид
Кадмия селенид
Кадмия сульфат
Кадмия сульфид
Кадмия теллурид
Кадмия хлорид
Казеин
Каландрование полимеров
Калий
Калийная селитра
Калийные удобрения
Калифорний
Калия гексацианоферраты
Калия гидрокарбонат
Калия гидроксид
Калия дихромат
Калия дицианоаурат(i)
Калия иодид
Калия карбонат
Калия нитрат
Калия оксид
Калия перманганат
Калия пероксодикарбонат
Калия пероксосульфаты
Калия сульфат
Калия сульфиды
Калия фосфаты
Калия фторид
Калия хлорид
Калия цианат
Калия цианид
Калия этилксантогенат
Каломель
Каломельный электрод
Калориметрия
Кальмодулин
Кальциевая селитра
Кальций
Кальцийорганические соединения
Кальцитонин
Кальциферолы
Кальция алюминаты
Кальция бораты
Кальция вольфраматы
Кальция галогениды
Кальция гидроксид
Кальция гипохлорит
Кальция карбид
Кальция карбонат
Кальция нитрат
Кальция оксид
Кальция силикаты
Кальция сульфат
Кальция фосфаты
Кальция фторид
Кальция хлорид
Кальция цианамид
Каменноугольная смола
Каменноугольные масла
Каменные угли
Камфан
Камфен
Камфеновые перегруппировки
Камфора
Канатные смазки
Канифоль
Канниццаро реакция
Канцерогенные вещества
Каолин
Капельный анализ
Капиллярная конденсация
Капиллярная хроматография
Капиллярные явления
Капиллярный осмос
Каплеулавливание
Каприловая кислота
Капрон
Капроновая кислота
Капсаицин
Капсулирование
Каптакс
Карбазол
Карбамид
Карбамидные смолы
Карбаминовая кислота
Карбанионы
Карбеновые комплексы переходных металлов
Карбены
Карбиды
Карбиламины
Карбин
Карбиновые комплексы переходных металлов
Карбитолы
Карбкатионы
Карбодиимиды
Карбодифосфораны
Карбоксилатные каучуки
Карбоксилирование
Карбоксиметилцеллюлоза
Карбоксипептидазы
Карбоксиэстеразы
Карболины
Карбонаты неорганические
Карбонаты органические
Карбонаты природные
Карбонизация
Карбонилирование
Карбонилфторид
Карбонилы металлов
Карбонильные соединения
Карбония ионы
Карбоновые кислоты
Карбопласты
Карборансодержащие полимеры
Карбораны
Карборунд
Карбоциклические соединения
Карвон
Кардовые полимеры
Карены
Кариофиллен
Кариуса метод
Каркасные соединения
Карнаубский воск
Карнитин
Карнозин
Каротиноиды
Каррагинаны
Касторовое масло
Катаболизм
Катализ
Катализаторы
Катализаторы гидрирования
Катализаторы дегидрирования
Катализаторы окисления
Катализаторы полимеризации
Каталитический крекинг
Каталитический реформинг
Каталитических реакций кинетика
Катапины
Катенаны
Катепсины
Катехоламины
Катион-радикалы
Катиониты
Катионная полимеризация
Катионные красители
Катионообменные смолы
Катионотропные перегруппировки
Катионы
Катодная защита
Катодолюминесцентный микроанализ
Каустобиолиты
Каучук натуральный
Каучуки синтетические
Качественный анализ
Квадрупольный момент
Квазикристалл
Квазирацематы
Квазистационарности приближение
Квантовая механика
Квантовая химия
Квантовое состояние
Квантовые переходы
Квантовый выход
Кварц
Кварцевое стекло
Квасцы
Кверцетин
Кедровое масло
Керамика
Кератины
Кермель
Керметы
Керосин
Керра эффект
Кетали
Кетены
Кетимины
Кетокарбoновые кислoты
Кетокислоты
Кетон малины
Кетоны
Кибернетика
Кижнера реакция
Кижнера-вольфа реакция
Килиани-фишера реакция
Кинe-замещeние
Кинетика химическая
Кинетическая кривая
Кинетическая теория газов
Кинетические методы анализа
Кинетический изотопный эффект
Кинетическое уравнение
Кинины
Киноплёнки
Кипение
Кипреналь
Кипящий слой
Кирсанова реакция
Кирхгофа уравнение
Кислoтно-оснoвное титрование
Кислoтно-основнoй катализ
Кислород
Кислорода фториды
Кислородный индекс
Кислотное число
Кислотные красители
Кислотоупoрные прирoдные материалы
Кислоты и основания
Кислоты неорганические
Клeя-киннера-пeррена реакция
Клайзена конденсация
Клайзена перегруппировка
Клайзена-шмидта реакция
Клапейрона-клаузиуса уравнение
Клапейрона-менделеева уравнение
Кларки химических элементов
Классификация
Классификация гидравлическая
Кластеры
Клатраты
Клеевые краски
Клеи природные
Клеи синтетические
Клей
Клей неорганические
Клемменсена реакция
Клетки эффект
Клешневидные соединения
Клофелин
Клофибрат
Кнорра реакция
Кнёвенагеля реакция
Коагулянты
Коагуляция
Коалесценция
Коацервация
Кобальта ацетат
Кобальта галогениды
Кобальта гидроксиды
Кобальта карбонаты
Кобальта карбонилы
Кобальта нитраты
Кобальта оксиды
Кобальта сплавы
Кобальта сульфаты
Кобальта хлориды
Кобальтовые удобрения
Кобальторганические соединения
Кобамидные коферменты
Ковалентная связь
Ковалентные кристаллы
Ковалентные радиусы
Ковар
Когезия
Кодеин
Кодон
Кожа
Кожа искусственная
Койевая кислота
Кокаин
Кокосовое масло
Кокс каменноугольный
Кокс нефтяной
Кокс пековый
Коксование
Коксовое число
Коксохимия
Коксуемость углей
Колебательные реакции
Колебательные спектры
Количественный анализ
Коллoидные раствoры
Коллаген
Коллидины
Коллоидная химия
Коллоидные системы
Коллоксилин
Колориметрический анализ
Колхициновые алкалоиды
Кольбе реакции
Кольбе шмитта реакция
Кольрауша закон
Комбинационного рассеяния спектроскопия
Компаунды полимерные
Компенсационный эффект
Комплексные соединения
Комплексометрия
Комплексонометрия
Комплексоны
Комплексообразующие ионообменные смолы
Комплемент
Комплементарность
Композиты
Композиционные материалы
Компонент системы
Компрессорные масла
Компрессорные машины
Компьютерный синтез
Конго красный
Кондакова реакция
Конденсации реакции
Конденсация
Конденсация фракционная
Кондуктометрия
Конкурирующих реакций метод
Коновалова законы
Коновалова реакция
Конопляное масло
Консервационные масла
Консервационные смазки
Консистентные смазки
Константа равновесия
Константа скорости
Константан
Конструкционная керамика
Контакт петрова
Контактная очистка
Конфигурационного взаимодействия метод
Конфигурация стереохимическая
Конформации молекулы
Конформационные эффекты
Конформационный анализ
Концентрация
Концентрирование
Координата реакции
Координациoнно-иoнная полимеризация
Координационная связь
Координационное число
Координационные полимеры
Координационные полиэдры
Координационные соединения
Копалы
Кордиты
Коричный альдегид
Коричный спирт
Кормовые фосфаты
Корреляционные соотношения
Корреляция конфигураций
Корриноиды
Коррозионная усталость
Коррозионностойкие материалы
Коррозионные испытания
Коррозия металлов
Коррозия под напряжением
Кортикоиды
Коршун климовой метод
Космические смазки
Космохимия
Котельные топлива
Коттона эффект
Кофеин
Кофермент
Коферменты
Коха-хаафа реакция
Коэрцитивная сила
Крапплак
Красители природные
Красители синтетические
Краски
Красуского правило
Кратные связи
Краун-эфиры
Крахмал
Крашение бумаги
Крашение волокон
Крашение древесины
Крашение кожи
Крашение меха
Крашение оксидированного алюминия
Крашение пластических масс
Крашение резино-технических изделий
Креатинфосфорная кислота
Кребса цикл
Крезолы
Крекинг
Кремнефтористоводородная кислота
Кремниевые кислоты
Кремний
Кремнийорганические жидкости
Кремнийорганические каучуки
Кремнийорганические лаки
Кремнийорганические полимеры
Кремнийорганические соединения
Кремнийэлементоорганические соединения
Кремния диоксид
Кремния иодиды
Кремния карбид
Кремния нитрид
Кремния оксид
Кремния фториды
Кремния хлориды
Криоскопия
Криохимия
Криптанды
Криптон
Криптона дифторид
Кристаллизационные методы разделения смесей
Кристаллизация
Кристаллическая структура
Кристаллический фиолетовый
Кристаллического поля теория
Кристаллическое состояние
Кристаллическое состояние полимеров
Кристаллогидраты
Кристаллосольваты
Кристаллофосфоры
Кристаллохимия
Кристаллы
Критические явления
Критическое состояние
Кровезаменители
Кроны
Кротоновая кислота
Кротоновая конденсация
Кротоновый альдегид
Круговой дихроизм
Крёнке реакция
Ксаитемовые красители
Ксантин
Ксантинола никотинат
Ксантогенаты
Ксантопротеиновая реакция
Ксантотоксин
Ксенон
Ксенона фториды
Ксиленоловый оранжевый
Ксилидины
Ксилилендиамины
Ксилит
Ксилолы
Кубовые красители
Кубогены
Кубозоли
Кукурузное масло
Кулонометрия
Кумарин
Кумароно-инденовые смолы
Кумилгидропероксид
Кумилпероксид
Кумол
Кумулены
Кунжутное масло
Купманса теорема
Купферон
Курареподобные средства
Курарин
Курнакова соединения
Курциуса реакция
Курчатовий
Кучерова реакция
Кьельдаля метод
Кэмпса реакция
Кэрролла-каймела реакция
Кюри точка
Кюрий
Кёнигса-кнорра реакция