Словарь научных терминов

Keтoальдегиды

KETOАЛЬДЕГИДЫ, дикарбонильные соед., содержащие в молекуле альдегидную и кетонную группы. В зависимости от числа атомов С между оксогруппами различают 1,2-К. (a-К.), 1,3-К. (b-К.), 1,4-К. (g-K.), 1,5-К. (d-К.), 1,6-К. (e-К.) и т.д. По номенклатуре ИЮПАК, назв. К. производят от назв. соответствующих альдегидов, прибавляя префикс "оксо", обозначающий наличие кетонной группы. Напр., соед. СН3СОСНО наз. 2-оксопропаналь, С6Н5СОСНО - 2-фенил-2-оксоэтаналь, СН3СОСН2СНО - 3-оксобутаналь; однако для этих альдегидов наиб. употребительны тривиальные назв.: соотв. метилглиоксаль (пировиноградный альдегид), фенилглиоксалъ и ацетоуксусный альдегид (формилацетон). К. - жидкости или твердые в-ва, р-римые в воде и орг. р-рителях. В ИК спектрах К. наиб, важные характеристич. полосы поглощения: для a-К. - в области частот 1730-1710 см-1 (vC=O), для b-К - в области 1640-1540 см-1 (v=C-OH) и 1740-1720см-1 (vCH=O), для g-К.- в области 1725-1705 см-1. Для К. характерны все р-ции альдегидов и кетонов (напр., восстановление, окисление, взаимод. с металлоорг. соед., с NaHSO3, получение монооксимов и диоксимов, гидразонов и др.). Специфич. хим. св-ва К. обусловлены взаимным расположением оксогрупп в молекуле. В а-К. RCOCHO эти группы особенно реакционноспособны. Простейший представитель ряда -метилглиоксаль- СН3СОСНО - желтая, очень гигроскопичная, легко полимеризующаяся жидкость (т. кип. 72 °С, с разл.), к-рую можно хранить только в виде р-ра в закрытом сосуде. Является промежут. продуктом распада углеводов; в живых организмах ферментативным путем он легко превращ. в молочную к-ту. Для a-К. наиб. характерна внутримол. р-ция Канниццаро, приводящая к образованию a-гидроксикислот:
https://www.medpulse.ru/image/encyclopedia/8/8/9/2889.jpeg
Метил- и фенилглиоксали вступают в р-цию типа бензоиновой конденсации: https://www.medpulse.ru/image/encyclopedia/8/9/0/2890.jpeg (где R=СН3, С6Н5). При взаимод. a-К. с 1,2-диаминами или амидинами образуются соотв. производные пиразина или имидазола:
https://www.medpulse.ru/image/encyclopedia/8/9/1/2891.jpeg
Для Р-К. RCOCR'R:CHO характерна высокая реакц. способность группы CH2(R', R:=Н), расположенной между оксогруппами, вследствие повыш. кислотности ее атомов Н. Поэтому Р-К. особенно склонны к замещению этих атомов и конденсации по группе СН2. Повыш. кислотностью b-К. обусловлена также их легкая енолизация. Незамещенные в a-положении b-К. существуют в осн. в форме b-гидроксиметиленкарбонильных соед. (см. Таутомерия):
https://www.medpulse.ru/image/encyclopedia/8/9/2/2892.jpeg
Они неустойчивы и очень легко тримеризуются с образованием производных бензола. Так, формилацетон СН3СОСН2СНО мгновенно превращ. в 1,3,5-триацетилбензол С гидроксиламином Р-К. образуют производные изоксазола, а с гидразинами - производные пиразола:
https://www.medpulse.ru/image/encyclopedia/8/9/3/2893.jpeg
При взаимод. g-К. RCO(CR'R:)2CHO с фенилгидразином получают производные N-фенилдигидропиридазина:
https://www.medpulse.ru/image/encyclopedia/8/9/4/2894.jpeg
Под действием C2H5ONa d-K. легко изомеризуются в d-лактоны:
https://www.medpulse.ru/image/encyclopedia/8/9/5/2895.jpeg
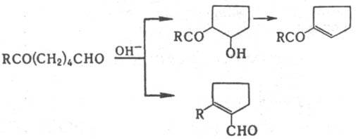
В присут. щелочи e-К. циклизуются в 2-ацилциклопентанолы, 1 -ацилциклопентены или в 2-алкил-1 -формилциклопентены, к-рые используются для синтеза простагландинов и терпеноидов:
https://www.medpulse.ru/image/encyclopedia/8/9/6/2896.jpeg
О методах синтеза К. см. Дикарбонилъные соединения. Качеств, определение: водные р-ры К. восстанавливают реактив Фелинга и аммиачный р-р AgNO3. Для количеств, определения К. используют их производные по оксогруппам, напр. диоксимы, 2,4 - динитрофенилгидразоны. Метилглиоксаль используют в гистохимии ферментов (в фосфатном или какодиловом буферном р-ре) и в электронной микроскопии в качестве фиксатора ткани. Метилглиоксаль и моногидрат фенилглиоксаля (т. пл. 91 °С, т. кип. 97°С/125мм рт. ст.) - специфич. реагенты на аминокислоты, напр. глицин, аргинин. Оксим фенилглиоксаля (т. пл. 126-128 °С) - аналитич. реагент для обнаружения Со, Fe, Hg, Mn, Ni, Pb и Pd. Лит.: Общая органическая химия, пер. с англ., т 2, М., 1982, с. 642 643. Р. Я. Попова.