Словарь научных терминов

-капролактам

-КАПРОЛАКТАМ (гексагидро-2-азепинон, лактам e-аминокапроновой к-ты, 2-оксогексаметиленимин), мол. м. 113,16; бесцв. гигроскопич. кристаллы, т. пл. 68,8 °С, т. кип. 262,5 °С; плотн. при 70 °С 1,02 г/см3; nD70 1,4790, nD20 (50%-ный водный р-р) 1,4795; vкрит 339,5.10-6 м3/моль, tкрит 750 и 805,7 К,
https://www.medpulse.ru/image/encyclopedia/1/8/4/7184.jpeg
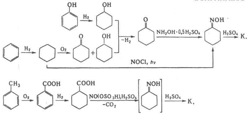
pкрит 47,62.105 Па; температурный коэф. объемного расширения 0,00104 К-1 (80 90 °С); С0p при 60 и 70 °С соотв. 1,67 и 1,76 кДж/(кг.К); DH0обр -269,63 кДж/моль, DH0сгор - 3605,2 кДж/моль; S0298 1,49 Дж/(моль.К). Ур-ния температурной зависимости давления пара: для твердого (308-333 К) lgp (мм рт. ст.) = 13,06 + 4,73.10-3/T, жидкого (353-413К) lgp (мм рт.ст.) = 6,78 + 2344/T; h 0,009 и 0,0047 Па.с соотв. при 78 и 100 °С; g 33,4.10-3 Н/м (130°С); теплопроводность 0,2326 Вт/(м.К); e 74 (20 °С, 20%-ный водный р-р). К. хорошо раств. в воде, орг. р-рителях и в разб. H2SO4; теплота растворения в воде 35,17 Дж/кг, в конц. H2SO4 611,27 Дж/кг (298-305 К). По хим. св-вам К. - типичный представитель лактамов. При нагр. с конц. минер. к-тами образует соли; в присут. небольших кол-в воды, спиртов, аминов, карбоновых к-т при 250-260 °С полимеризуется с образованием полиамидной смолы, из к-рой затем получают волокно капрон (см. Поли-e-капроамид). В пром-сти К. получают из бензола, фенола или толуола по схемам:
https://www.medpulse.ru/image/encyclopedia/1/8/5/7185.jpeg
В пром-сти наиб. распространение получил метод синтеза К. из бензола. Технол. схема включает гидрирование бензола в циклогексан в присут. Pt/Al2O3 или никель-хромового катализатора при 250-350 и 130-220 °С, соответственно. Жидкофазное окисление циклогексана в циклогексанон осуществляют при 140-160°С, 0,9-1,1 МПа в присут. нафтената или стеарата Со. Получающийся в результате окисления циклогексанол превращают в циклогексанон путем дегидрирования на цинк-хромовых (360-400 °С), цинк-железных (400 °С) или медь-магниевых (260-300 °С) смешанных катализаторах. Превращение в оксим проводят действием избытка водного р-ра сульфата гидроксиламина в присут. щелочи или NH3 при 0-100°С. Завершающая стадия синтеза К. - обработка циклогексаноноксима олеумом или конц. H2SO4 при 60-120 °С (перегруппировка Бекмана). Выход К. в расчете на бензол 66-68%. При фотохим. методе синтеза К. из бензола циклогексан подвергают фотохим. нитрозированию в оксим под действием NOCl при УФ облучении. Метод синтеза К. из фенола включает гидрирование последнего в циклогексанол в газовой фазе над Pd/Al2O3 при 120-140°С, 1-1,5 МПа, дегидрирование полученного продукта в циклогексанон и дальнейшую обработку как в методе синтеза из бензола. Выход 86-88%. Метод синтеза К. из толуола включает: окисление толуола при 165°С в присут. бензоата Со; гидрирование получающейся бензойной к-ты при 170°С, 1,4-1,5 МПа в присут. 5%-ной взвеси Pd на мелкодисперсном угле; нитрозирование циклогексанкарбоновой к-ты под действием нитрозилгидросульфата (нитрозилсерной к-ты) при 75 80 °С до К.-сырца. Нек-рые стадии этой схемы недостаточно селективны, что приводит к необходимости сложной очистки получаемого К. Выход К. 71% в расчете на исходный продукт. Полученный любым из перечисл. методов К. предварительно очищают с помощью ионообменных смол, NaClO и КМnО4, а затем перегоняют. Побочный продукт произ-ва (NH4)2SO4 (2,5-5,2 т на 1 т К.), к-рый используется в с. х-ве в качестве минер. удобрения. Известны также методы получения К. из неароматич. сырья (фурфурола, ацетилена, бутадиена, этиленоксида), к-рые не нашли пром. применения. Твердый К. транспортируют в бумажных пятислойных мешках с полиэтиленовым вкладышем, жидкий - в специально оборудованных цистернах с обогревом в атмосфере азота (содержание кислорода в азоте не должно превышать 0,0005%). Т. всп. 135°С, т. самовоспл. 400 °С, ниж. предел воспламенения 123°С; ЛД50 450 мг/м3 (мыши, вдыхание паров), ПДК 10 мг/м3. Раздражает кожу. К. применяют для получения поли-e-капроамида. Объем мирового произ-ва 2,7 млн.т/год (1985); из них из бензола получают 83,6%, из фенола - 12%, из толуола - 4,4% К. Лит.: Производство капролактама. М., 1977. П. А. Лупанов, В. Н. Громогласова.