Словарь научных терминов

Хромазурол

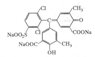
ХРОМАЗУРОЛ S, мол. м. 604,51, темно-красные кристаллы, хорошо раств. в воде. Кислотно-основный индикатор. Используется также для фотометрич. определения Al, Be, Pd, Sc, Zr, Cu, в составе тройных комплексов с ПАВ. Окрашенные р-ры А1 с X. стабильны даже при высоких концентрациях элемента. Взаимод. с А1 сопровождается резким переходом желтой окраски р-ра (https://www.medpulse.ru/image/encyclopedia/8/3/8/16838.jpeg 430 нм) в фиолетово-синюю (https://www.medpulse.ru/image/encyclopedia/8/3/9/16839.jpeg 545 нм) при рН 5,3-6,1, предел обнаружения 0,006 мкг/мл.

https://www.medpulse.ru/image/encyclopedia/8/4/0/16840.jpeg

Лит.: Тихонов В. Н., Аналитическая химия алюминия, М., 1971; Саввин СБ., Чернова Р.К., Штыков С.Н., Поверхностно-активные вещества, М., 1991.

А. В. Михайлова.


B-хлорэтилфосфит Халькогениды Халькогены Хана правило Характеристика халькогенов Характеристические функции Хартри-фока метод Хвойное масло Хека реакция Хелетропные реакции Химическая Химическое равновесие Химическое сродство Химия Химия высоких энергий Химия древесины Химия твёрдого тела Химмотология Химозин Химотрипсин Хиназолин Хиназолиновые алкалоиды Хинакридоновые пигменты Хингидрон Хингидронный электрод Хинизарин Хинин Хиноксалин Хинолизидин Хинолиновая кислота Хинолиновые алкалоиды Хинониминовые красители Хинонимины Хиноны Хинофталоновые красители Хинуклидил-3-бензилат Хинуклидин Хиральность Хироптические методы Хитин Хладагенты Хладоны Хлопина закон Хлопковое масло Хлор Хлора оксиды Хлораль Хлорамины Хлоранилины Хлорантрахиноны Хлораты Хлорацетофенон Хлорбензальдегиды Хлорбензол Хлорбутилкаучук Хлориды Хлорирование Хлорированные полиэтиленовые лаки Хлористая кислота Хлористый водород Хлориты Хлоркаучуки Хлоркаучуковые лаки Хлорксилолы Хлорметилирование Хлорнафталины Хлорная известь Хлорная кислота Хлорнитробензолсульфокислоты Хлорноватая кислота Хлорноватистая кислота Хлоропрен Хлорофиллы Хлороформ Хлорпарафины Хлорпикрин Хлорпропионовые кислоты Хлорсеребряный электрод Хлортолуолы Хлортриазиновые красители Хлоруксусные кислоты Хлорфенолы Хлорциан Холевая кислота Холецистокинин Холинолитические средства Холодильные процессы Хорионический гонадотропин Хоуорса формулы Хризен Хром Хрома галогениды Хрома карбонилы Хрома оксиды Хрома сплавы Хрома сульфаты Хрома хлориды Хромазурол Хроматин Хромато-масс-спектрометрия Хроматография Хроматография на бумаге Хроматы Хромовые красители Хроморганические соединения Хромосомы гомологичные Хромотроповая кислота Хромофоры Хромпиразолы Хроноамперометрия Хронопотенциометрия Хунда правила Хунда случаи связи Хунсдиккера реакции Хэммонда постулат Хюккеля метод