Пылеулавливание
ПЫЛЕУЛАВЛИВАНИЕ, очистка
газов от взвешенных в них мелкодисперсных твердых частиц пыли или дыма (см.
Аэрозоли). Производится для защиты от загрязнений атм. воздуха (особенно
при выбросе отходящих пром. газов), технол. подготовки газов и извлечения из
них ценных продуктов. П. осуществляют с помощью пылеуловителей, встроенных в
основное технол. оборудование, а также выносных. Эффективность П. определяется,
как правило, отношением массы частиц пыли, уловленных (осажденных) в пылеуловителе,
к массе частиц пыли на его входе.
В технике П. применяют
большое число аппаратов, отличающихся конструкцией и принципом осаждения взвешенных
частиц. По способу их отделения от потока газа пылеуловители обычно подразделяют
на аппараты механической (сухой и мокрой) и электрич. очистки (см. также Газов
очистка). Работа любого пылеуловителя основана на использовании одного или
неск. механизмов осаждения взвешенных в газах частиц. Вклад каждого определенного
механизма осаждения в эффективность работы пылеуловителя
можно качественно охарактеризовать соответствующим безразмерным параметром.
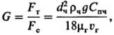
Гравитационное осаждение
(седиментация) происходит в результате вертикального оседания частиц под действием
силы тяжести при прохождении их через газоочистной аппарат. Параметр гравитац.
осаждения G выражается соотношением:

где Fт, Fc-силы
тяжести и сопротивления среды (Н); dч, rч-диаметр
(м) и плотность (кг/м3) частиц; g-ускорение своб. падения
(м/с ); mr, uг-динамич. вязкость (Па·с) и скорость
(м/с) газового потока; Спч-поправка Каннингема-Милликена, учитывающая
увеличение подвижности частиц, размер к-рых сравним со средней длиной пробега
молекул газа. Гравитац. принцип осаждения используется в пыле-осадит. камерах.
Центробежное осаждение
происходит при криволинейном движении аэродисперсного потока, когда развиваются
центробежные силы, под действием к-рых частицы отбрасываются на пов-сть осаждения.
Параметр центробежного осаждения w характеризуется отношением центробежной
силы Fц, воздействующей на частицу, к силе сопротивления среды:

где uw,
r-скорость (м/с) и радиус вращения (м) газового потока. Центробежное
осаждение применяется в одиночных, групповых и батарейных циклонах, вихревых
аппаратах, динамич. скрубберах.
Инерционное осаждение происходит,
если масса частиц или их скорость движения настолько значительны, что они не
могут следовать вместе с газом по линии тока, огибающей препятствие, а, стремясь
по инерции продолжить движение, сталкиваются с препятствием и осаждаются на
нем. Параметр инерционного осаждения - критерий Стокса:

где uог-
скорость газового потока относительно пов-сти обтекания или препятствия (м/с);
l-характерный линейный параметр (м) обтекаемого тела (для сферич. капли-диаметр
шара, для волокна-диаметр цилиндра). Инерционное осаждение определяет работу
большинства мокрых пылеуловителей (скрубберов), а также играет важную роль в
фильтрах.
Зацепление (эффект касания)
наблюдается, когда расстояние от частицы, движущейся с газовым потоком, до обтекаемого
тела равно ее радиусу или меньше его. Эффект зацепления характеризуется параметром
R3 — dч/l и имеет существ. значение при
очистке газов в фильтрах.
Диффузионное осаждение
происходит в результате непрерывного воздействия на мелкие взвешенные частицы
молекул газа, находящихся в броуновском движении. Параметр диффузионного осаждения
Doc-величина, обратная критерию Пекле: Doc
= Ре-1 = uгl/D4, где D4-коэф.
броуновской диффузии частиц (м2/с). При справедливости закона Стокса,
когда размер частиц больше среднего пути пробега молекул, имеем;

где k- постоянная
Болъцмана; Тг-т-ра газов (K). Диффузионное осаждение подобно эффекту
зацепления используется в осн. в фильтрах. Эти механизмы осаждения преобладают
при обеспечении путем фильтрации особо высокой степени очистки газов, напр.
при создании стерильных условий работы в цехах расфасовки антибиотиков.
Электрическое осаждение.
При ионизации молекул газов электрич. разрядом содержащиеся в газах частицы
заряжаются, а затем осаждаются на электродах. Параметр осаждения за счет действия
электрич. сил характеризуется соотношением:

где q-заряд частицы
(Кл); E-напряженность электрич. поля коронного разряда (В/м). На этом
методе осаждения частиц основана работа электрофильтров.
Электрич. осаждение возможно
и при взаимод. частиц с каплями (пузырями), причем электрич. заряды м. б. подведены
к частицам, орошающей жидкости или, что наиб. эффективно, одновременно к частицам
и жидкости. Электрич. осаждение происходит также при прохождении аэрозоля через
фильтрующие перегородки; в этом случае заряды могут подводиться как к частицам,
так и к фильтровальному материалу.
Помимо указанных выше осн.
механизмов осаждения, имеется и ряд других: термо- и диффузиофорез, воздействие
магн. поля, турбулентности газового потока и др. Однако они не получили пока
распространения в пром-сти.
Выбор пылеуловителя обусловлен
физ.-хим. св-вами частиц и очищаемых газов, но определяющим служит дисперсный
состав (размер) улавливаемых частиц. При коагуляции первичные частицы объединяются
в агломераты, т. е. укрупняются. Поэтому в технике П. важную роль играет т.
наз. стоксовский размер - диаметр сферич. частицы, имеющей такую же скорость
осаждения, как и данная несферич. частица или агрегат. Размер частиц нек-рых
аэрозолей и аппараты, используемые для их улавливания, приведены на рис., а
в табл. (с. 147)-сравнительные характеристики разл. пылеуловителей с учетом
влияния на их эффективность физ. параметров аэрозолей. Эти данные м. б. полезны
при выборе аппаратов для П.
Виды взвешенных частиц
и аппараты для их улавливания.
Совр. системы П.-относительно
сложные сооружения, состоящие из комплекса собственно газоочистных и вспомо-гат.
аппаратов. Поскольку объемные расходы очищаемых газов часто достигают сотен
тыс. и даже млн. м3/ч, стоимость таких систем может оказаться достаточно
высокой.
П. осуществляют при измельчении,
классификации и сушке твердых материалов, обработке их в псевдоожиженном слое,
сжигании твердого топлива (очистка дымовых газов), сублимации, обжиге, пневмотранспорте,
а также в системах кондиционирования и др.
Лит.: Очистка промышленных
газов от пыли, М., 1981; Страус В., Промышленная очистка газов, пер. с англ.,
М., 1981; Справочник по пыле- и золоулавливанию, под ред. А. А. Русанова, М.,
1983. А.Ю. Вальдберг.