Пиразин
ПИРАЗИН, мол. м.
80,1; бесцв. кристаллы; т. пл. 540C, т. кип. 115,5-115,80C;
плотн. 1,0311 г/см3; pKa1 0,65, рКa2
5,8. Хорошо раств.
в воде, хуже - в этаноле, диэтиловом эфире.

Молекула плоская; длины
связей С—С и С—H близки
к таковым в бензоле, длина связи С—N 0,134 нм. П.-гетероароматич. соединение.
Вступает в р-ции электроф. и нуклеоф. замещения. При аминировании под действием
NaNH2 в NH3 превращ. в 2-аминопиразин; при окислении-в
N-оксиды по одному или двум атомам N, напр.:

Оксиды легко вступают в
р-ции электроф. замещения и используются для синтеза разл. производных П. Так,
действием POCl3 на пиразин-1-оксид получают 2-хлорпиразин-1-оксид,
к-рый при взаимод. с разб. р-ром NaOH превращ. в 2-гидроксипиразин-1-оксид;
N-оксидная группа легко удаляется восстановлением.
Общие методы синтеза П.
и его производных: 1) конденсация 1,2-диаминоалканов с a-дикетонами, напр.:

В пром-сти П. синтезируют
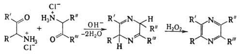
обычно этим способом. 2) Конденсация двух молекул a-аминокетонов или a-аминоальде-гидов,
напр.:

Такая конденсация протекает
также при восстановлении a-азидо- и a-нитрокетонов.
П. и его производные обладают
гербицидной и анти-биотич. активностью. Алкилпиразины - слагаемые аромата пищи,
образующегося при ее приготовлении; обнаружены в жареном мясе, картофеле, какао,
кофе, нек-рых сырах. Пира-зиновый цикл входит в состав нек-рых феромонов, антибиотиков
(аспергилловая к-та), антивирусных, антибактериальных, противоопухолевых (эхиномицин)
лек. препаратов, азиновых красителей.
Лит.: Общая органическая
химия, пер. с англ., т. 8, M., 1985, с. 127-45; Comprehensive heterocyclic chemistry,
v. 3, Oxf., 1984. IJ. А. Гембицкий.