Горение
ГОРЕНИЕ, физ.-хим. процесс, при к-ром превращение в-ва сопровождается интенсивным выделением энергии и тепло-и массообменом с окружающей средой. В отличие от взрыва и детонации протекает с более низкими скоростями и не связано с образованием ударной волны. В основе Г. лежит хим. р-ция, способная протекать с прогрессирующим самоускорением вследствие накопления выделяющегося тепла (тепловое Г.) или активных промежут. продуктов (цепное Г.). наиб. распространено тепловое Г.; цепное Г. в чистом виде встречается сравнительно редко, гл. обр. в случае нек-рых газофазных р-ций при низких давлениях.
Условия термич. самоускорения м. б. обеспечены для всех р-ций с достаточно большими тепловыми эффектами и энергиями активации. наиб. обширный класс р-ций Г.-окисление углеводородов, напр. при Г. прир. топлив, водорода, металлов и т.п.; окислители-кислород, галогены, нитросоединения, перхлораты. В режиме Г. могут происходить: разложение озона, ацетилена, гидразина, динитрогликоля, метилнитрата и др.; окислит.-восстановит. р-ции, в к-рых восстановители-элементы с высоким сродством к кислороду (Са, Al, Si, Mg и др.); синтез из элементов оксидов, галогенидов, халькогенидов, гидридов, интерметаллидов, тугоплавких нитридов и карбидов.
Г. может начаться самопроизвольно в результате самовоспламенения либо быть инициированным зажиганием (см. Воспламенение). При фиксиров. внеш. условиях (давление, т-ра, размеры реактора, параметры тепло- и массопереноса и др.) непрерывное Г. может протекать в стационарном режиме, когда осн. характеристики процесса - скорость р-ции, кол-во тепла, выделяющегося в единицу времени (мощность тепловыделения), т-ра и состав продуктов - не изменяются во времени, либо в периодич. режиме, когда эти характеристики колеблются около своих средних значений. Вследствие сильной нелинейной зависимости скорости р-ции от т-ры Г. отличается высокой чувствительностью к внеш. условиям: при их незначит. изменении медленная р-ция может перейти в режим Г. или, наоборот, развитое Г. может прекратиться. Это же св-во Г. обусловливает существование неск. стационарных режимов при одних и тех же условиях (гистерезисный эффект).
Теория горения.
При адиабатич. сжигании горючей смеси, т.е. в отсутствие теплообмена между реагирующей системой и окружающей средой, м. б. рассчитаны кол-во выделившегося при Г. тепла, т-ра ТГ, к-рая была бы достигнута при полном сгорании (т. наз. адиабатич. т-ра Г.), и состав продуктов, если известны состав исходной смеси и термодинамич. ф-ции исходной смеси и продуктов. Если состав продуктов заранее известен, ТГ м. б. рассчитана из условия равенства внутр. энергии системы (при пост. объеме) или ее энтальпии (при пост. давлении) в исходном и конечном состояниях с помощью соотношения: ТГ = Т0 + Qr/C, где Т0-начальная т-ра смеси, С-средняя в интервале т-р от Т0 до ТГ уд. теплоемкость исходной смеси (с учетом ее изменения при возможных фазовых переходах), (QГ-УД- теплота сгорания смеси при т-ре ТГ. При относительном содержании а0 в смеси компоненты, полностью расходуемой в р-ции (напр., горючего), QГ = Q*а0 где Q-тепловой эффект р-ции Г. Значение Тр при пост, объеме больше, чем при пост. давлении, поскольку в последнем случае часть внутр. энергии системы расходуется на работу расширения. На практике условия адиабатич. Г. обеспечиваются в тех случаях, когда р-ция успевает завершиться прежде, чем станет существенным теплообмен между реакц. объемом и окружающей средой, напр. в камерах сгорания крупных реактивных двигателей, в больших реакторах, при быстро распространяющихся волнах горения.
Термодинамич. расчет дает лишь частичную информацию о процессе - равновесный состав и т-ру продуктов. Полное описание Г., включающее также определение скорости процесса и критич. условий при наличии тепло-и массообмена с окружающей средой, можно провести только в рамках макрокинетич. подхода, рассматривающего хим. р-цию во взаимосвязи с процессами переноса энергии и в-ва (см. Макрокинетика). В случае заранее перемешанной смеси горючего и окислителя р-ция Г. может происходить во всем пространстве, занятом горючей смесью (объемное Г.), или в сравнительно узком слое, разделяющем исходную смесь и продукты и распространяющемся по горючей смеси в виде т. наз. волны Г. В неперемешанных системах возможно диффузионное Г., при к-ром р-ция локализуется в относительно тонкой зоне, отделяющей горючее от окислителя, и определяется скоростью диффузии реагентов в эту зону.
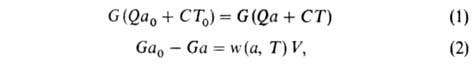
Объемное горение происходит, напр., в теплоизолиров. реакторе
идеального перемешивания (см. Безградиентный реактор), в к-рый поступает
при т-ре Т0 исходная смесь с относит. содержанием горючего а0;
при другой т-ре Г реактор покидает смесь с иным относит. содержанием горючего
а. При полном расходе G через реактор условия баланса энтальпии
смеси и содержания горючего при стационарном режиме Г. могут быть записаны
ур-ниями:
где w(а, Т)-скорость р-ции Г., К-объем реактора. Используя выражение
для термодинамич. т-ры ТГ, можно из (1) получить: а = а0(ТГ
- Т)/(ТГ - Т0)и записать (2) в виде:
где q-(T) = GC(T- Т0)-скорость отвода тепла
из реактора с продуктами сгорания, q+(T) = Qw(a, Т) V-скорость
выделения тепла при р-ции. Для р-ции и-го порядка с энергией активации:
(k0-предэкспоненц. множитель в ур-нии Аррениуса).
На диаграмме q — Т (рис. 1) зависимость q-(T)выражается
прямой линией, угол наклона к-рой тем больше, чем больше расход через реактор;
q + (T)выражается кривой с резким максимумом вблизи ТГ.
Восходящая ветвь этой кривой обусловлена быстрым ростом скорости р-ции
с т-рой (в выражении для w осн. вклад дает экспоненц. множитель); при значит.
выгорании горючего смесь сильно разбавляется продуктами, преобладающее
влияние на скорость р-ции начинает давать множитель аn и
р-ция резко замедляется. Поскольку для р-ций Г. характерны большие значения
Е, максимум на кривой q+(T)выражен очень резко
и сильно смещен к ТГ, т.е. наиб. быстро реагирует смесь, сильно
нагретая выделяющимся теплом, хотя и значительно разбавленная продуктами.
При разл. расходах G условия баланса (1) и (2), к-рым отвечают точки пересечения
q+ (T)и q-(Т), могут выполняться при разл.
т-рах. Соответственно и р-ция может протекать по-разному: в низкотемпературном
режиме без прогрессирующего самоускорения, с незначит. саморазогревом (Т
Т0) и выгоранием горючего (а
а0)
(точка А на рис. 1 при расходе Gt) или в режиме Г. при
высоких т-рах (Т
ТГ)и больших степенях выгорания (а
0)
(точка С на рис. 1 при расходе G3). Переходы между этими
двумя режимами-воспламенение смеси и ее погасание-происходят скачкообразно
при критич. расходах GB и GП соотв., причем всегда
GB < GП. При промежут. расходах GB
< G < GП возможен также неустойчивый режим протекания
р-ции при нек-рой промежут. т-ре (точка В на рис. 1 при расходе
G2), когда любое малое случайное возмущение расхода приводит
р-цию в один из устойчивых режимов (А' или С). Гистерезисный
эффект, свойственный Г., заключается в том, что при любом расходе G в интервале
от GB до GП м. б. реализованы оба устойчивых режима
- высокотемпературный (собственно Г.) и низкотемпературный, в зависимости
от того, достигнуто ли данное значение G увеличением расхода со стороны
значений, меньших GB, или уменьшением его со стороны значений,
больших GП.
Рис. 1. Зависимость скоростей тепловыделения q+ и теплоотвода q- от т-ры Т реагирующей системы при разл. значениях расхода через реактор С (пояснения в тексте); Т0-т-ра окружающей среды. ТГ - адиабатич. т-ра горения.
Критич. и гистерезисные явления, характерные для Г., возникают не только при изменении расхода, но и при изменении др. внеш. условий (Т0, V и т.д.).
Волны горения обусловлены характерным св-вом Г.-способностью
к распространению в пространстве, занятом горючей смесью. Начавшись в одном
слое горючей смеси, заполняющей к.-л. объем, напр. трубу, р-ция Г. инициируется
в соседних слоях вследствие их нагрева горячими продуктами или из-за диффузии
активных центров из реагирующего слоя. В результате возникает распространяющийся
вдоль трубы фронт Г., перед к-рым находится горючая смесь при начальной
т-ре Т0, за ним-продукты сгорания при т-ре ТП. При
отсутствии потерь тепла через стенки трубы ТП = ТГ.
В стационарном режиме Г. все точки плоского волнового фронта перемещаются
с одинаковой скоростью м, постоянной во времени. Скорость р-ции w, т-ра
Т и концентрация горючей компоненты а распределены во фронте Г.
неравномерно, образуя вдоль координаты распространения фронта х три
зоны (рис. 2). В т. наз. зоне реакции 1 т-ра принимает значения в узком
интервале
вблизи ТГ, а скорость р-ции максимальна. В зоне прогрева 2 скорости
р-ции и тепловыделения существенно меньше, осн. роль в тепловом балансе
смеси играет тепловой поток из зоны р-ции. Под воздействием этого потока
горючая смесь настолько быстро нагревается до высоких т-р, что компоненты
не успевают прореагировать. В зоне диффузии 3 осуществляется молекулярное
смешение компонентов горючей смеси и продуктов р-ции. В результате диффузии
концентрация горючего в зоне р-ции сильно снижается и смесь обогащается
продуктами Г. Значения ширины зоны прогрева lТ и зоны
диффузии lD определяются коэф. температуропроводности
смеси х и диффузии продуктов D соотв.:
. Ширина зоны р-ции lр для простой одностадийной р-ции
во много раз меньше lТ: lр/lT ~
RTT2/E(TГ — Т0). В случаях
р-ции со сложным механизмом (напр., при сильном торможении р-ции продуктом)
lр м. б. сравнима и даже превосходить lТ.
Рис. 2. Изменение скорости реакции w, т-ры Т реагирующей системы, концентраций горючего а и продуктов П вдоль координаты х распространения фронта горения; 1-зона реакции, 2-зона прогрева, 3-зона диффузии.
В соответствии с текущими значениями Т и а распределена
во фронте Г. и полная энтальпия смеси Н (рис. 3). При
нагретые слои, обогащенные горючей смесью, имеют избыток энтальпии по сравнению
с энтальпией Н0 исходной смеси
; при
недостаточно
прогретая и сильно разбавленная продуктами смесь имеет недостаток энтальпии
. Избыток энтальпии во фронте Г.-причина неустойчивости стационарных волн
Г. и возникновения колебательных режимов их распространения.
Рис. 3. Изменение энтальпии Н реагирующей системы вдоль координаты
х распространения фронта горения;
и D-коэффициенты температуропроводности смеси и диффузии продуктов соответственно.
При сложных р-циях, протекающих по многостадийному механизму, структура фронта Г. может оказаться более сложной, чем в случае простой (одностадийной) р-ции. В зависимости от соотношения между кинетич. константами разл. стадий сложной р-ции эти стадии могут либо протекать в одной зоне (режим слияния), либо могут быть пространственно разделенными и взаимод. между собой посредством тепловых и диффузионных потоков (режим управления), либо не будут испытывать никакого взаимного влияния (режим отрыва). Скорость распространения фронта Г. с неск. зонами р-ции, как правило, определяется к.-л. одной из них (т. наз. ведущая зона).
Кол-во горючего, сгорающего на единице пов-сти фронта Г. в единицу времени,
наз. массовой скоростью Г. т. Она определяется выражением:
,
где
-плотность
исходной смеси.
Расчет скоростей Г.-массовой m и линейной u-связан с отысканием
распределения т-р и концентраций всех компонентов смеси во фронте Г. и
требует совместного решения дифференц. ур-ний тепло- и массопереноса в
реагирующей среде. Согласно Зельдовичу-Франк-Каменецкому, для простой (одностадийной)
р-ции
где
-теплопроводность
смеси,
=
RT2Г/E(TГ — T0); значения
и w соответствуют т-ре ТГ, плотности смеси
и эффективной концентрации горючего в зоне р-ции
=
. Из этой ф-лы следует, что из всех физ.-хим. св-в горючей смеси и характеристик
тепло- и массопе-реноса наиб. влияние на т оказывает т-ра ТГ,
поскольку зависимость т от ТГ соответствует экспоненц.
закону, т.е.
В реальных условиях распространение фронта Г. всегда сопровождается потерями тепла во внеш. среду (излучением, теплопроводностью), что приводит к уменьшению т-ры и скорости Г. по сравнению с их адиабатич. значениями. Если отношение интенсивности теплопотерь к мощности тепловыделения превышает нек-рое критич. значение, самораспространение р-ции по горючей смеси становится невозможным. Срыв Г. с ростом теплопотерь осуществляется скачком: непосредственно перед потуханием скорость Г. отлична от нуля и даже м. б. близка к скорости адиабатич. Г. Со срывом Г. вследствие теплопотерь связаны понятия разл. пределов Г. Так, если содержание воздуха в горючей смеси становится меньше стехиометрического, сильно уменьшаются скорости р-ции и тепловыделения. При неизменной теплоотдаче это приводит к росту отношения интенсивности теплопотерь к мощности тепловыделения. При нек-рой концентрации горючего это отношение достигает критич. значения, ниже к-рого смесь становится негорючей в данных условиях; соответствующая концентрация горючего наз. концентрационным пределом Г. Аналогично определяются пределы Г. по начальной т-ре, давлению, диаметру трубы и т.п.
Диффузионное горение имеет место в условиях, когда горючее и
окислитель диффундируют в зону р-ции с противоположных сторон; таково,
напр., Г. свечи, фитиля. Если при этом константа скорости k р-ции
Г. много меньше константы скорости диффузии
,
реагенты успевают перемещаться и р-ция протекает в обычном кинетич. режиме
(относительно низкотемпературном). При
реагенты взаимод. тотчас же после их поступления в зону р-ции, прежде чем
они полностью перемешаются, и р-ция протекает в режиме Г., т.е. при высоких
т-рах. Отношение диффузионных потоков реагентов определяется стехиометрией
р-ции; концентрации горючего и окислителя в зоне р-ции малы, осн. компонент
смеси-продукты сгорания, к-рые диффундируют в области, занятые горючим
и окислителем (рис. 4). Выделяющееся при р-ции тепло передается горючему
и окислителю, к-рые поступают в зону р-ции нагретыми до высокой т-ры. В
отличие от Г. перемешанных смесей, т-ра диффузионного Г. зависит от отношения
.
При
она
совпадает с т-рой Г. перемешанной стехиометрич. смеси горючего и окислителя,
с уменьшением
-падает. По этой причине диффузионное Г. не реализуется в конденсиров.
средах, для к-рых значения
очень
малы; помимо газофазных систем, диффузионное Г. характерно для гетерог.
р-ций на пов-сти (Г. твердых в-в, гетерог.-каталитич. Г.). Массовая скорость
m диффузионного Г. определяется скоростью диффузии реагентов в зону
р-ции. Рост m с увеличением скорости диффузии возможен лишь до определенного
предела. Это предельное значение m близко по величине к массовой
скорости Г. в пламени, распространяющемся по стехиометрич. смеси горючего
и окислителя. По достижении предельного значения m p-ция переходит
в низкотемпературный кинетич. режим (происходит срыв Г.). От начальной
т-ры реагентов Т0 m практически не зависит, однако при нек-ром
минимальном для данного набора остальных параметров значении Г0
диффузионное Г. невозможно.
Рис. 4. Распределение концентрации окислителя (1), горючего (2), продуктов реакции (3) и т-ры смеси (4) во фронте диффузионного горения; х-пространственная координата, ТГ-адиабатич. т-ра горения.
Особенности горения в различных средах.
При Г. газовых смесей на скорость распространения фронта Г. (пламени) и форму его пов-сти существенно влияет гидродинамич. течение среды. Скорость и распространения пламени по неподвижной среде зависит от состава смеси, т-ры и давления и является физ.-хим. характеристикой смеси. Она наз. нормальной, или фундаментальной, скоростью Г. Для р-ции и-го порядка и ~ ~ ехр(E/2RТГ)*рn/2-1, где р-давление. Для разл. горючих смесей и составляет от неск. см/с до десятков м/с. Наблюдаемая скорость распространения пламени отличается от и из-за движения газа перед фронтом Г., напр. вследствие термич. расширения продуктов при распространении пламени от закрытого конца трубы к открытому. При Г. в больших объемах расширение продуктов приводит к гидродинамич. неустойчивости пламени-самопроизвольному искривлению его пов-сти, образованию на ней ячеистых структур и др.
В ламинарно движущейся горючей смеси пламя распространяется со скоростью
и в направлении, нормальном к его пов-сти. Пламя имеет стабилизированную
в пространстве форму при условии, что и равна нормальной составляющей
скорости потока VH. В случае вытекания из горелки радиуса
r заранее перемешанной смеси со скоростью потока v = const
стабилизированная пов-сть пламени (т. н. факел) имеет форму конуса с высотой
. Г увеличением расхода горючего пов-сть пламени увеличивается, обеспечивая
сгорание всей смеси. В случае диффузионного Г., напр. при ламинарном истечении
горючего в атмосферу окислителя, форма пламени определяется условием равенства
нулю на его пов-сти концентраций горючего и окислителя.
При турбулентном течении горючей смеси пульсации потока интенсифицируют тепло- и массоперенос в пламени, искривляют и дробят его пов-сть, расширяют зону р-ции, что приводит к резкому ускорению Г. Скорость распространения турбулентного пламени может превосходить и в десятки и сотни раз. В сильно шероховатых трубах турбулизация потока и ускорение пламени могут даже привести к переходу Г. в детонацию.
В конденсированных (безгазовых) системах ведущая Г. экзотермич. р-ция
протекает в твердой или жидкой фазе с образованием конденсиров. продуктов;
газофазные в-ва либо не участвуют в р-ции, либо не влияют на распространение
фронта Г. Примеры подобных процессов-Г. нек-рых термитных составов (смесей
порошков оксидов и металлов-восстановителей), самораспространяющийся
высокотемпературный синтез, фронтальная полимеризация. Для Г. безгазовых
смесей характерна высокая плотность выделения энергии, скорость Г. для
разл. систем принимает значения от 10-1 до 10 см/с и
постоянна в широком интервале изменения давления; отсутствует диффузия
продуктов в исходную смесь, изменение концентрации реагентов происходит
только в пределах зоны р-ции (зоны 1и 3 на рис. 2 сливаются в одну).
Такая структура фронта Г. обусловливает макс. кол-во избыточной энтальпии
в прогретом слое в-ва перед зоной р-ции. В сочетании с высокой температурной
чувствительностью скорости р-ции (сверхкритич. значения энергии активации
р-ции Е)это может привести к возникновению автоколебаний фронта
Г. с резкими пульсациями т-ры и скорости Г. Если пов-сть фронта велика,
колебания отд. точек теряют синхронность и возникают пространственно неоднородные
нестационарные эффекты, напр. т. наз. спиновое Г., при к-ром р-ция локализуется
в небольшом ярком пятне, движущемся по спирали с пост. скоростью в сторону
несгоревшего в-ва (рис. 5). При Г. смесей порошков, напр. металла с углеродом,
часто возникают широкие (намного превышающие зону прогрева) зоны тепловыделения,
обусловленные сильным торможением р-ции продуктами. Интенсивная р-ция,
определяющая скорость распространения фронта Г., протекает при т-рах, намного
меньших ТГ, дальнейшее догорание растягивается на большое пространство.
Рис. 5. Спиновое горение тантала в азоте: 1 сгоревшая часть образца (светятся горячие продукты горения); 2-очаг реакции, распространяющийся по спирали (стрелка указывает направление движения); 3-несгоревшая часть образца (исходное вещество).
При Г. газифицирующихся конденсированных систем (напр., твердых и жидких ВВ) происходит интенсивное газовыделение вследствие испарения горючего или его хим. разложения, обусловленных потоком тепла из зоны Г. Ведущая Г. экзотермич. р-ция может протекать в образующейся газовой фазе (т. наз. летучие системы) либо в конденсиров. фазе (нелетучие системы). Стационарное Г. летучих систем описывается той же теорией, что и Г. газовых смесей с заранее перемешанными компонентами. В нелетучих системах выделение большого кол-ва газообразных продуктов может приводить к мех. разрушению и диспергированию в-ва вблизи пов-сти. В результате зона р-ции сильно растягивается и тепловыделение происходит в осн. в мелкодисперсной смеси частиц горючего и продуктов его первичного хим. разложения. Линейные скорости и Г. порохов и других ВВ составляют от долей мм/с до десятков см/с; аномально высокие и (десятки м/с) наблюдаются при проникновении горячих газообразных продуктов в поры гранулированного твердого топлива (конвективное Г.). Как и при Г. газов, для и характерна степенная зависимость от р типа и ~ pv, где v > 0. Г. может сопровождаться нестационарными эффектами: погасанием при сбросе давления, колебаниями скорости и т-ры, искривлением пов-сти фронта и др., обусловленными избытком энтальпии в прогретом слое топлива и большим различием в плотности конденсиров. и газовой фаз.
Г. гетерогенных систем - твердых или жидких топлив в газообразном окислителе - может происходить так же, как и Г. гомогенных газовых смесей, если перемешивание компонентов происходит достаточно быстро и не лимитирует р-цию (напр., при распылении топлива из форсунки). При низкой дисперсности частиц горючего осуществляется режим диффузионного Г. При Г. капли жидкого топлива вокруг нее образуется диффузионное пламя, поддерживающее интенсивное испарение. Время диффузионного Г. частиц топлива пропорционально квадрату их размера. Помимо миним. размера, отвечающего пределу интенсификации диффузионного Г., существует макс. размер частицы, при к-ром топливо не может гореть вследствие радиац. теплопотерь.
Распространение пламени по взвеси частиц топлива в газе (аэровзвеси) протекает с большими скоростями ( ~ 10 м/с) вследствие того, что световое излучение от горящих частиц топлива нагревает исходную смесь на больших расстояниях перед фронтом Г. В больших объемах Г. аэровзвеси может переходить в детонацию вследствие самоускорения пламени, а также из-за автотурбулизации течения газа горящими частицами твердого топлива.
При Г. пористых в-в, напр. слоя частиц угля, распространение фронта Г. сопровождается фильтрац. течением газа, содержащего окислитель. Оно может возникать самопроизвольно вследствие поглощения либо выделения газа при р-ции или вынужденно, из-за задаваемого перепада давления. Т-ра и состав продуктов зависят от кинстич., теплофиз. и фильтрац. характеристик системы. Т-ра Г. при вынужденной фильтрации окислителя через продукты может в неск. раз превышать Тр, рассчитанную на полное сгорание горючего, содержащегося в пористой среде. Напр., при фильтрац. выжигании нефтяного песка т-ра в зоне р-ции может составлять 600-800 °С при расчетной термодинамич. т-ре Г., равной 250-350 оС. Такое повышение т-ры смеси в зоне р-ции осуществляется за счет тепла, отбираемого газовым потоком у охлаждаемой части продуктов. При низком содержании окислителя в потоке газа все продукты могут оказаться охлажденными до т-ры вдуваемого газа, а горючее в-во - разогретым до т-ры Г. на большом расстоянии перед зоной р-ции. Др. характерные эффекты - неполное сгорание, срывы Г. при отсутствии внеш. теплопотерь, аномально низкие значения и (10-1-1 см/мин). Возможны и нестационарные явления - автоколебания фронта Г., спиновое Г., образование ячеистых структур во фронте Г.
В макрогетерог. системах (крупные куски угля, пластины полимеров в атмосфере окислителя) возможно распространение диффузионного пламени вдоль пов-сти горючего материала. Скорость Г. определяется тепло- и массоперено-сом в передней кромке пламени и зависит от величины и направления потока газа, концентрации в нем окислителя, св-в горючего.
Практич. применения Г. развиваются по двум направлениям-энергетическому, в к-ром Г. используется для выделения энергии топлива, и технологическому, в к-ром назначение Г.-получение целевого продукта. Первое направление составляют теплоэнергетика, моторостроение, ракетная техника, разработка МГД-генераторов и др.; второе - доменный процесс, металлотермия, неполное сжигание углеводородов в произ-ве сажи, ацетилена, этилена, самораспространяющийся высокотемпературный синтез, разработка нефтяных месторождений путем внутрипластового Г. и др. Изучение Г. имеет первостепенное значение в разработке научных основ пожаро- и взрывобезопасности (см. Пожарная опасность).
Лит.: Хитрин Л. Н., Физика горения и взрыва, М., 1957; Льюис Б., Эльбе Г., Горение, пламя и взрывы в газах, пер. с англ., 2 изд., М., 1968; Процессы горения в химической технологии и металлургии, Черноголовка, 1975; Мержанов А. Г., Руманов Э. Н., Горение без топлива, М., 1978; Математическая теория горения и взрыва, М., 1980; Теория горения и взрыва, М., 1981. А. Г. Мержанов, А. П. Алдушин.