Ретроионилиденовая перегруппировка
РЕТРОИОНИЛИДЕНОВАЯ ПЕРЕГРУППИРОВКА,
перемещение двойных связей, происходящее при дегидратации b-ионоловых
спиртов, у к-рых двойная связь боковой цепи сопряжена с двойной связью кольца.
В результате образуются соед. с т. наз. ретрорасположением двойных связей:

При синтезе витамина А
Р.п. приводит к т. наз. соед. ретростроения, не обладающим биол. активностью.
В связи с этим синтез витамина А проводят в условиях, исключающих Р.п., либо
превращают ретроионилиденовые структуры в ионилиденовые. Так, при обработке
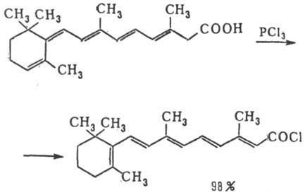
С15- и С20-кислот ретростроения (полупродукты при синтезе
витамина А из b-ионона) особо очищенным РС13 происходит превращение,
обратное Р.п.:

Такие же преобразования
могут осуществляться под действием кислых и основных реагентов. Р.п.
открыта У. Орешником и независимо X. Хьюсменом в 1952.
Лит.: Назаров И.
Н., Яновская Л. А., "Успехи химии", 1958. т. 27, в. 3, с.
241 - 76. С. М. Лукьянов.