Словарь научных терминов

Ацетали амидов карбоновых кислот

АЦЕТАЛИ АМИДОВ КАРБОНОВЫХ КИСЛОТ (амидоацетали), орг. соед., содержащие две алкоксигруппы и дизамещенную аминогруппу при одном атоме углерода, RC(OR')2NR"R'", где R = Н, Ar, Alk; R' и R" = Alk; R'" = = Alk, аралкил. К амидоацеталям (А.) относят также ацетали циклич. амидов (лактамов), наз. лактамацеталями, и дитиоацетали амидов карбоновых к-т (амидомеркаптали) RC(SR')2NR"R'". А. - подвижные жидкости (см. табл.); раств. во всех орг. р-рителях.

СВОЙСТВА НЕКОТОРЫХ АЦЕТАЛЕЙ АМИДОВ
https://www.medpulse.ru/image/encyclopedia/6/7/0/2670.jpeg

В р-рах А. находятся в равновесии с амбидентным катионом (ф-ла I) и алкокси-анионом (в случае амидомеркапталей - с тиолят-анионом), что обусловливает их высокую реакц. способность по отношению к нуклеоф. реагентам. Если R = Alk, напр. СН3, в равновесии участвует такжеhttps://www.medpulse.ru/image/encyclopedia/6/7/1/2671.jpegалкоксиенамин (илиhttps://www.medpulse.ru/image/encyclopedia/6/7/2/2672.jpegалкилтиоенамин) (II), ответственный за возможность взаимод. и с электроф. реагентами:
https://www.medpulse.ru/image/encyclopedia/6/7/3/2673.jpeg

А. легко гидролизуются водой до амидов. При взаимодействии их со спиртами или тиолами происходит обмен алкоксигрупп на др. алкокси- или алкилтиогруппы соответственно; при реакции с первичными аминами образуются амидины, со вторичными аминами - новые А., напр.:
https://www.medpulse.ru/image/encyclopedia/6/7/4/2674.jpeg

А. реагируют с соед., содержащими активную метиленовую группу (малоновым, ацетоуксусным или циануксусным эфирами, нитрометаном, ацетофеноном или др.), с образованием енаминов, напр.:
https://www.medpulse.ru/image/encyclopedia/6/7/5/2675.jpeg

где Z = O или S.

А. - алкилирующие агенты, что обусловлено наличием в равновесии с ними катионов I. Напр., при р-ции диэтилацеталя N-метилкапролактама (III) с бензойной к-той образуется этилбензоат, с малоновым эфиром - этилмалоновый эфир, а также соответствующие енамин и N-метилкапролактам:
https://www.medpulse.ru/image/encyclopedia/6/7/6/2676.jpeg

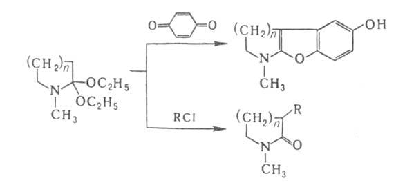
Р-ция электроф. реагентов, напр. алкил- или ацилгалогенидов, с диэтилацеталем N,N-диметилацетамида CH3C(OC2H5)2N(CH3)2 направляется наhttps://www.medpulse.ru/image/encyclopedia/6/7/7/2677.jpegатом С, приводя к образованию амидов RCH2CON(CH3)2 или RCOCH2CON(CH3)2. Аналогично реагируют ацетали N-метиллактамов. При использовании бензохинона получаются производные бензофурана:
https://www.medpulse.ru/image/encyclopedia/6/7/8/2678.jpeg

Общий метод синтеза А.-взаимод.https://www.medpulse.ru/image/encyclopedia/6/7/9/2679.jpegзамещенных солей иммония (IV,a,6) с алкоголятами Na (для получения амидомеркапталей - с RSNa). Соли IV получают из N,N-дизaмeщенных амидов алкилированием либо действием РОС13, РС15 или СОС12, напр.:
https://www.medpulse.ru/image/encyclopedia/6/8/0/2680.jpeg

А. используют для синтеза разл. конденсированных гетероциклич. соед., напр. производных индола и азаиндола. Ацетали диметилформамида - циклизующие агенты в синтезе производных имидазола, пиридина, пиримидина и др.

Лит: Г рани к В. Г. [и др.], "Успехи химии", 1977, в. 4. т. 46, с. 685-711; Abdulla R. F., Brinkmeyer R. S., "Tetrahedron". 1979, v. 35. №14. p. 1675-1735; GlocdeJ., HaaseL, Gross Н„ "Z. Chem.", 1969, Jg. 9, № 6, S. 201-13. В.Г. Гранин.


(+ )-абсцизовая кислота 2,2 -азо-бис-изобутиронитрил 2-амино-2-метил-1-пропанол 2-амино-2-этил-1,3-пропандиол S-аденозилметионин Абляционныематериалы Абрамова реакция Абс-пластик Абсорбция Авиакеросин Авиважныесредства Авироль Авогадро закон Автокатализ Автокосметика Автолы Автоматизированное управление Автоматизированные системы научных исследований Автоокисление Агар Агрохимия Адамантан Адамкевича реакция Адамсит Адгезия Аддукт Аденилатциклаза Аденин Аденозин Аденозинмонофосфат циклический Аденозинтрифосфатазы Аденозинфосфорные кислоты Адиабатического сжатия метод Адиабатическое приближение Адипиновая кислота Адиподинитрил Адреналин Адреноблокирующие средства Адренокортикотропин Адреномиметические средства Адсорбционная очистка Адсорбция Азаиндолы Азатиоприн Азелаиновая кислота Азеотропные смеси Азепин Азетидин Азиды арилсульфокислот Азиды металлов Азиды органические Азиновые красители Азины Азиридин Азирины Азобензол Азогены Азокрасители Азоксисоединения Азолы Азометиновые красители Азометиновые соединения Азосоединения Азосочетание Азот Азота оксиды Азота фториды Азотистая кислота Азотистоводородная кислота Азотистые иприты Азотная кислота Азотные удобрения Азотолы Азотолы-ариламиды з-гидрокси-2-нафтойной кислоты Азотфиксация Азулены Аймалин Айнхорна реакция Акарициды Аквакомплексы Акваметрия Акватол Аккумуляторы Аконитин Акридин Акридиновые красители Акриламид Акрилатные каучуки Акрилаты Акриловая кислота Акриловые лаки Акрилонитрил Акрихин Акролеин Аксиальное и экваториальное положения Активационный анализ Активированного комплекса теория Активность Активные красители Активный уголь Актин Актиний Актиноиды Актинометрия Актиномицины Акустическая спектроскопия Акустические материалы Аланин Ализарин Ализариновое масло Ализариновый красный с Алифатические соединения Алициклические соединения Алкалиметрия Алкалоиды Алкалоиды дафнифиллума Алкалоиды ипекакуаны Алкалоиды ликоподиума Алкалоиды элаокарпуса Алкансульфонаты Алканфосфонаты Алканы Алкенилирование Алкены Алкидные смолы Алкилсульфаты Алкилтиурамсульфиды Алкилфенолы Алкилфосфаты Алкилфосфолипиды Алкины Алкоголиз Алкогольдегидрогеназа Алкоголяты Алкоксигруппа Алкоксисиланы и ароксисиланы Аллена реакция Аллены Аллиламины Аллилбензол Аллилбораны Аллилглицидиловый эфир Аллилизотиоцианат Аллилмеркаптан Аллиловый спирт Аллилхлорид Аллилцианид Аллильная перегруппировка Аллильное замещение Аллильные комплексы переходных металлов Аллильные соединения Аллооцимен Алмаз Алхимия Альгиновые кислоты Альгициды Альдегидаммиаки Альдегиддегидрогеназы Альдегидо- и кетокислоты Альдегиды Альдера правила Альдимины и кетимины Альдолазы Альдольная конденсация Альтернантные сополимеры Альтернантные углеводороды Альтернативные топлива Алюминаты Алюминий Алюминийорганические соединения Алюминия гидроксид Алюминия нитрат Алюминия нитрид Алюминия оксид Алюминия сплавы Алюминия сульфат Алюминия фосфаты Алюминия фторид Алюминия хлорид Алюмогидриды Алюмосиликаты Алюмотол Амадори перегруппировка Амальгамы Амариллисовые алкалоиды Амбидентные соединения Амбра Амений-катионы Америций Амидины Амиды карбоновых кислот Амилазы Амиламины Амилены Амиловые спирты Аминирование Аминоалкилакрилаты Аминоалкилирование Аминоальдегиды и аминокетоны Аминоантрахинонсульфокислоты Аминоантрахиноны Аминоацил-трнк-синтетазы Аминобензойные кислоты h2nc6h4cooh Аминобензолсульфокислоты Аминов Аминогалогенантрахиноны Аминогликозидные антибиотики Аминодифениламины Аминокапроновая кислота Аминокислоты Аминолиз Аминометилирование Аминонафтолсульфокислоты Аминонафтолы Аминонитрилы Аминонитроанизолы Аминооксиантрахиноны Аминопептидазы Аминопиридины Аминопласты Аминосалициловые кислоты Аминосахара Аминоспирты Аминотолуолсульфокислоты Аминофенолы Аминоэтилэтаноламин Амины Амины третичные перфторированные Амиодарон Амитриптилин Аммиак Аммиакаты Аммиачная вода Аммины Аммоналы Аммониевые соединения Аммоний-катионы Аммониты Аммония гексафторосиликат Аммония карбонат Аммония нитрат Аммония пероксодисульфат Аммония перхлорат Аммония сульфат Аммония тиоцианат Аммония фосфаты Аммония фторид Аммония хлорид Аммонолиз Аммофос Амортизаторные жидкости Аморфное состояние Амперометрическое титрование Амфотерность Амфотерные ионообменные смолы Анабазин Анаболические вещества Аналептические средства Аналитическая химия Анальгетические средства Анаприлин Ангелицин Ангидриды карбоновых кислот Ангидриды неорганических кислот Ангидрон Анетол Анзамицины Анзерин Анид Анизидины Анизол Анизотропия Анилиды Анилин Анилино-формальдегидные смолы Анилиновая точка Анилиновый чёрный Анионная полимеризация Анионообменные смолы Анионы Анисовый альдегид Аннелирование Аннулены Анодная защита Анодное оксидирование Анодное растворение Анри реакции Анса-соединения Анти..., син.. Антиалкогольные средства Антиаллергические средства Антиаритмические средства Антигеморрагические средства Антидетонаторы моторных топлив Антидиабетические средства Антидоты Антидоты для растений Антикоррозионные материалы Антимонаты Антимониды Антинакипины Антиозонанты Антиоксиданты Антипирены Антипирин Антиподы оптические Антирады Антисептические средства Антистатики Антитиреоидные средства Антиферментные средства Антиферромагнетики Антифиданты Антифризы Антифрикционные материалы Антифрикционные смазки Антихолинэстеразные средства Античастицы Антоцианы Антраниловая кислота Антрахинон Антрахинонкарбоновые кислоты Антрахиноновые красители Антрахинонсульфокислоты Антрацен Антрациклины Антрацит Антрон Анхимерное содействие Апатит Апикальное положение Апоморфин Аппретирующие средства Арахидоновая кислота Арбитражный анализ Арборициды Арбузова реакция Аргентометрия Аргинин Аргон Ареноний-катионы Арены Арил Арилирование Арилметановые красители Арилсульфатазы Арилсульфотрансфераза Арины Армированные пластики Арндта-айстерта реакция Ароксильные радикалы Ароматизация Ароматические соединения Ароматичность Аррениуса уравнение Арсеназо Арсенаты Арсениды Арсин Арсингалогениды Арсоний-катионы Асбопластики Асидол Асимметрический атом Асимметрический синтез Аскаридол Аспарагин Аспарагиназы Аспарагиновая кислота Аспартам Аспартат-карбамоилтрансфераза Аспартатаминотрансфераза Аспергилловая кислота Астат Асфальт Асфальтены Атмосфера Атмосферная коррозия Атмосферно-вакуумные установки Атмосферостойкость Атом Атомная единица массы Атомная масса Атомно-абсорбционный анализ Атомно-флуоресцентный анализ Атомные радиусы Атомные спектры Атропоизомерия Аттрактанты Ауверса-скиты правило Ауксины Афелий Аффинная хроматография Аценафтен Аценафтенхинон Аценафтилен Ацетали амидов карбоновых кислот Ацетали и кетали Ацетальдегид Ацетамид Ацетанилид Ацетатные волокна Ацетаты Ацетил-соа-синтетаза Ацетила пероксид Ацетилацетон Ацетилен Ацетилендикарбоновая кислота Ацетиленовые комплексы переходных металлов Ацетиленовые углеводороды Ацетилсалицйловая кислота Ацетилхлорид Ацетилхолин Ацетилхолинэстераза Ацетон Ацетонитрил Ацетонорастворимые красители Ацетонциангидрин Ацетоуксусный эфир Ацетофенон Ацефен Аци-нитросоединения Ацидиметрия Ацидокомплексы Ацидолиз Ациклические соединения Ацилирование Ацилоиновая конденсация Ацилоины Ацильное число Аэрозоли Аэросил